(通讯员 李思吾)近日,西电tyc1286太阳成集团余创教授团队在全固态锂金属电池负极界面研究方面取得突破性进展。研究成果以”In Situ Grown Multi-Functional Siloxane-Based Organic-Inorganic Hybrid Matrix toward Robust Sulfide-Lithium Metal Interface for All-Solid-State Batteries“为题发表于材料科学领域国际著名学术期刊《先进功能材料》(Advanced Functional Materials)(中科院一区,影响因子:19.0)。材料院硕士生宋琨和力感院本科生潘旭涛为论文共同第一作者,李思吾副教授、吴巍炜教授和余创教授为共同通讯作者,西电为第一单位。

高能量密度、高安全性的全固态锂金属电池是未来储能技术的核心发展方向之一。然而,硫化物固态电解质与高活性锂金属负极之间严重的界面副反应和锂枝晶穿透问题,极大地限制了电池的循环寿命和实际应用。开发一种能同时实现界面稳定与锂均匀沉积的高效保护层至关重要。
针对这一挑战,研究团队创新性地提出了一种简易的原位合成策略,在锂金属表面成功构建了一种名为PD3F-Li的多功能硅氧烷基有机-无机复合保护界面层。该方法通过含氟硅氧烷前驱体在锂金属表面的原位开环聚合与还原反应,一步形成兼具柔性与稳定性的复合层。该复合层由有机硅氧烷聚合物网络与均匀分散的LiF、LiIn/In、LiSixOy等无机纳米颗粒共同构成,巧妙结合了有机相的柔韧离子传输通道和无机相的高机械强度、高化学稳定性及丰富锂成核位点等多重优势。

图1 PD3F-Li的制备过程和结构表征

图2 基于PD3F-Li的对称电池性能评估

图3 基于锂铟半电池的裸锂金属和PD3F-Li的剥离失效分析

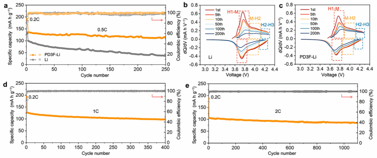
图4 基于PD3F-Li的全电池性能分析

图5 循环后全电池的界面分析
基于该复合界面层的优异特性,改性后的锂金属负极(PD3F-Li)与硫化物电解质Li5.5PS4.5Cl1.5展现出良好的兼容性。对称电池测试表明,PD3F-Li负极的临界电流密度高达3.8 mA cm⁻²,是裸锂负极的6倍以上,并能在0.2 mA cm⁻²下稳定循环超过1300小时。在全电池性能方面,采用PD3F-Li负极、NCM712正极的全固态电池在0.5C倍率下循环250次后容量保持率高达84.6%,远优于对照组的36.7%。在2C高倍率下,该电池实现了1100次的长循环,容量保持率仍达79.5%。系列表征证实,该原位界面层有效抑制了电解质分解,缓解了界面接触损失,从而实现了界面的长期稳定。
该工作通过一种简便、可扩展的原位策略,为解决硫化物全固态锂金属电池的界面难题提供了创新思路和高效方案,对推动下一代高比能固态电池的发展具有重要意义。本研究得到国家自然科学基金、中国博士后科学基金等项目资助。
论文信息:
Song, K., Pan, X.T., Li, S.W., Wu, W.W., Yu, C. In Situ Grown Multi-Functional Siloxane-Based Organic-Inorganic Hybrid Matrix toward Robust Sulfide-Lithium Metal Interface for All-Solid-State Batteries. Adv. Funct. Mater.2026, 2532071.
https://advanced.onlinelibrary.wiley.com/doi/full/10.1002/adfm.202532071